现代精确的天文观测数据表明,宇宙中可见物质质量的73%以氢原子的形式存在,25%以氦原子的形式存在,剩下大约2%则由其他元素组成。现有的观测研究还发现氢、氦以及少量的锂来自宇宙诞生初期的大爆炸核合成过程,更重的元素例如碳、氧、氮、硫、铁等则是在恒星内部通过核反应产生的。然而,比铁更重的元素(即超铁元素),例如稀有的重金属金、银,核电站的重要原料铀-235、钚-239等,都无法在恒星内部产生。因此,超铁元素的产生机制与场所是当前核天体物理研究中的重大前沿课题之一。从“铁”至“铀”的重元素起源问题也被美国国家研究理事会宇宙物理学分会列为21 世纪的十一大待解之谜之一。早在1957 年,Cameron 以及Burbidge夫妇、Fowler 和Hoyle就在理论上独立提出——发生在爆炸性的中子环境中的快中子俘获过程可以产生约一半左右的超铁元素以及所有比铋重的元素。尽管“快中子俘获过程”在核天体物理中扮演着重要角色,但是受原子核物理实验技术与天文观测条件的限制,目前对其发生的场所还不清楚,相关研究聚焦于超新星爆发时刚诞生中子星的中微子星风、中子星并合等剧烈的天文事件。
中子星并合一般包含双中子星的并合或者是“恒星级质量黑洞与中子星”的并合。迄今在银河系中已有10个双中子星系统被确认,而“中子星-恒星级质量黑洞”这样的双星系统还没有可靠的观测依据。一般认为,中子星的并合除了发射相对论性的喷流并产生短时标的伽玛暴射线暴(简称短暴),还会抛射出~0.001-0.1倍太阳质量的富中子化的“低速”物质,我们称之为外流。1974年Lattimer & Schramm提出“中子星并合是理想的快中子俘获过程场所并产生大量重元素”,但论文发表后约1/4个世纪里并没有得到关注,该过程后续的天文观测效应几乎没有人讨论。这种窘况一直持续到1998年,当时在普林斯顿大学攻读博士学位的李立新和其导师B.Paczynski教授提出:中子星并合所产生的外流中的不稳定的(超)重元素会衰变并加热外流,从而形成一个持续数天的光学波段的耀发,其光度可与普通超新星相当。2005年加州理工的S. Kulkarni教授进一步指出如果中子星并合形成的中心天体持续向外提供强的能流,会增强光学波段的辐射。Kulkarni还把来自于外流的可能光学耀发命名为macronova (部分学者也称该类现象为kilonova)。2005年短暴被Swift卫星精确的定位,从此观测家们在短暴的光学余辉辐射中寻找Li-Paczynski macronova/kilonova,但长期未能如愿。原因之一是早期的理论计算中简单的假定外流物质组成与超新星类似,以镍56等铁族元素为主。而产生macronova的外流实际上是以快中子俘获过程产生的重元素为主,重要组成成分之一是镧系元素。镧系元素对光学光子的吸收非常强,在同样质量下比铁族元素高近100倍。由于中子星并合产生的外流质量与超新星相比小很多,若以铁族元素为主,外流将在一天左右就达到光学薄,同时辐射流量达到峰值;而包含重要的镧系元素成分后,则达到光学薄的时间被显著推迟,相应辐射的黑体温度大大降低。2013年后的大量模拟研究表明如果中心引擎不提供显著的能量注入,Li-Paczynski macronova/kilonova 应该出现在近红外波段,而且在中子星并合后1-2周内其流量达到峰值。这只比超新星稍早,但能谱却比超新星软很多,极大的增加了观测发现的难度。2013年6月3日发生了一个持续仅0.2秒的一个短暴GRB 130603B(注意伽玛暴的分类中瞬时辐射短于2秒的为短暴,反之为长暴),其它各方面属性也完全符合短暴的统计特征,因此是一个“经典”短暴。Tanvir等人利用哈勃望远镜(HST)的观测发现,相对于由伽玛暴极端相对论性的喷流产生的余辉而言,大约10天后在近红外波段的流量和能谱上都存在“显著”超出,尽管超出的“置信度”受到了早期地面光学余辉观测数据稀少并且GRB 130603B余辉光学消光甚为严重的较大影响,人们把这个近红外超出解释为Li-Paczynski macronova/kilonova。
2014年初,紫金山天文台领衔的一个国际合作组把目光转向了GRB 060614。这是一颗发现于2006年持续约100秒的长暴,红移为0.125,是距离我们最近的伽玛暴之一。基于2006年之前的研究结果,长暴来自于大质量恒星的死亡并伴随明亮的超新星辐射。如此近距离的长暴的余辉中理应探测到很亮的超新星。但是人们利用甚大望远镜(VLT),HST等世界上最好的光学望远镜进行了密集的、长时期的观测,也没有发现任何超新星的迹象。这些观测结果严重的挑战了伽玛暴基于瞬时辐射持续时间长短的分类,在2006年引发了研究热潮,《Nature》曾于2006年12月28日同时刊发了4篇GRB 060614的研究论文。考虑到该类暴同时具有长、短暴的部分特征,人们后来谓之为“长短暴”。尽管相关研究进行得如火如荼,但由于缺乏观测上决定性的判据,对于长短暴的起源至今依然众说纷纭。2009年Valenti等人发现的一个极弱的超新星SN 2008ha,其峰值光度只有伴随伽玛暴的超新星典型值的百分之一,部分学者据此推断——GRB 060614的超新星辐射不是没有,只是太弱。
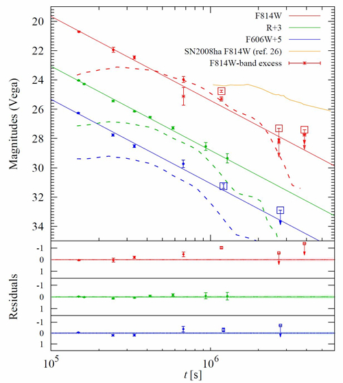
2014年里紫金山天文台的几位研究人员与意大利光学天文专家Stefano Covino一道重新系统地分析了GRB 060614的 VLT,HST原始观测数据。发现暴后几天内VLT的V(仿视), R(红光)和I(红外)各波段的辐射高度一致地以同一幂率指数衰减,这与标准火球模型预言的伽玛暴正向激波的同步辐射余辉一致。但在13.6天时的HST观测中发现I波段(F814W)流量明显超出这一幂率衰减的成分,而在同时的V波段(F606W)中却没有对应的超出。更重要的是: HST V/I波段色差显著的比1.7天时的VLT的V/I波段色差大1个星等(见图1)。这些结果无法在标准火球余辉模型框架内得到合理的解释。充分表明在13.6天左右的数据中包含一个额外、显著的“能谱很软”的近红外辐射成分。
该合作组也讨论了这个近红外超出来自于低光度超新星的可能性。他们发现尽管的确有超新星(例如SN 2008ha)的光度也可以很低,在峰值流量上与GRB 060614观测比较一致,但达到峰值之后的衰减速率却相差甚远——GRB 060614 的衰减明显快于SN 2008ha(见图1)。并且 GRB 060614的近红外超出时的色差(F606W-F814W)与超新星相比差距尤为显著(见图2) 。因此这一超出不太可能来自于一个低光度超新星。
让人惊讶的是GRB 060614的近红外超出的光度(~3x1040 erg/s)以及解释成黑体辐射所对应的低温度(<3000 K)都与目前Li-Paczynski macronova模型高度一致。该合作组的计算表明,如果GRB 060614来自于一个“恒星级质量黑洞-中子星”双星系统的并合,那么有可能抛出0.1太阳质量的物质,其快中子俘获过程的产物的持续衰变可以合理的解释GRB 060614的近红外超出(见图1)。Li-Paczynski macronova与超新星有一定的相似性,热源都是外流中的放射性物质。辐射达到峰值的时间基本上就是外流体变成光学薄的时间,这之后的辐射主要由放射性物质的衰变提供能源。观测到的GRB 060614辐射衰减速率明显快于超新星,说明了其放射性物质的半衰期显著的短于以镍56为主的超新星,很可能是以快中子俘获过程产生的更重的元素为主。这也使得Li-Paczynski macronova成为一个比超新星更易于证认的超重元素合成工厂。
该项工作具有3方面的意义:(1) 确定了GRB 060614的中子星并合起源模型,本质上属于短暴,澄清了困惑伽玛暴研究界长达9年的“长短暴”起源谜题;(2) 该近红外超出的拟合需要一个“中子星-恒星级质量黑洞”的双星系统的合并,这是该类尚未得以确认的双星系统存在的间接证据;(3) 这是首次在“长短暴”中发现Li-Paczynski macronova/kilonova, 表明经典“短暴”与所谓的“长短暴”都是快中子俘获过程的重要场所,为揭示宇宙中(超)重元素的起源提供了新线索。从某种意义上说这样的“长短暴”是黄金、白银等贵重金属的“制造厂”。
该合作成果由中国科学院紫金山天文台6位研究人员、以色列希伯来大学2位研究人员和意大利国立天体物理研究所的1位研究人员共同完成。该文的第一作者是就读于紫金山天文台的硕士研究生杨宾(来自中国台湾),通讯作者为范一中研究员、金志平副研究员以及Tsvi Piran教授。
该项研究工作主要得到科技部973计划(尤其是青年科学家专题项目)、国家自然科学基金(尤其是中-以联合自然科学基金项目)、江苏省杰出青年基金资助,已在《自然通讯》(Nature Communications)正式发表,全文见 http://www.nature.com/ncomms/2015/150611/ncomms8323/pdf/ncomms8323.pdf。

图一. GRB 060614的多波段余辉观测数据。注意这里VLT(用圆表示)的V和I波段已经改换到了HST(用方框表示)的F606W和H814W波段。实线是我们对早期余辉的拟合并以单一幂率延伸到了晚期。可以看到VLT和HST F606W波段数据基本符合标准余辉模型预言的单一幂率。但在13.6天左右的HST F814W的观测数据中存在明显超出余辉单一幂率的成分。下方减去幂率成分后的残差图(点线附近阴影表示拟合的误差范围)也清楚的显示了超出。这一超出(超出部分用叉表示)可以用一个红移z=0.125的Macronova的辐射很好的拟合,图中断续线是我们用数值方法计算的黑洞-中子星系统合并产生的富含快中子俘获产物的外流体产生的辐射。同时一个极弱的超新星SN 2008ha的光变(同样变换到红移z=0.125)也画在了图上作为比较。图取自Yang, Jin & Li et al. (2015).

图二. GRB 060614 “超亮”部分的色差(V-I)与极弱超新星SN 2006aj, SN 2008ha, SN 2010bh的色差对比。其中三个超新星的时间,频率和消光都已经变换到与GRB 060614同样的红移 z=0.125 处以便做直接的比较。可以看到GRB 060614 的“超亮”明显比超新星更红。图取自Yang, Jin & Li et al. (2015).