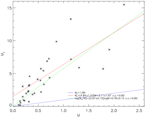
紫金山天文台研究者利用紫金山天文台青海观测站13.7米毫米波射电望远镜对Gemini分子云进行了CO(J=1-0)分子谱线的观测。根据该分子云的部分区域的通道积分图(图1,其中红色的叉表示核候选体的位置)推断分子云核候选体的较大速度差值由像碰撞、紊乱磁场一样的随机过程触发。从线宽的分析(图2)则得到了非热致宽在该分子云中占据主导地位的结论。至于恒星形成,位力质量和LTE质量的关系(图3)则揭示:该分子云内的核候选体更有可能是非束缚的,因而不大可能有恒星形成活动;而谱指数0.97则因为与引力束缚型和压力束缚型的核的谱指数不同而可能成为高银纬分子云的一个重要特征。这些研究成果都有利于点燃对高银纬分子云的兴趣。工作已经发表在天文学杂志(AJ),详细内容:http://iopscience.iop.org/article/10.1088/0004-6256/150/2/60/pdf。

图1 选定区域的通道积分图

图2 非热线宽与热线宽

图3 位力质量与LTE质量的关系(单位:太阳质量)