快变射电暴(fast radio bursts)是2013年里得以确认的一类持续毫秒量级、流量强达~1Jy的单脉冲型射电爆发事件,全天区的探测率原则上高达~10000/天。它们的物理起源尚不清楚,但所测得的色散量远远超过银河系星际介质的贡献,所以一般认为最可能来自于宇宙深处的致密星表面。目前国际上对快变射电暴的研究进行得如火如荼,已迅速形成一个重要的科学前沿领域。另一方面,现代宇宙学研究中最重要的研究对象之一是暗能量,它被广泛的用来解释宇宙的加速膨胀等其它天文重要观测现象。现阶段暗能量研究的最重大课题之一是其状态方程的测定,通过它人们可以准确的区分“宇宙学常数”或者是各种“标量场”模型进而揭示暗能量的本质。目前人们主要利用Ia型超新星、重子声波振荡、微波背景辐射等观测数据来联合限制暗能量的状态方程,但所达到的精度还不足以可靠的区分不同的暗能量模型。所以新的有效的暗能量探针依然是人们孜孜以求的目标之一。
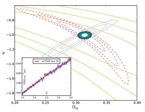
2014年1月紫金山天文台周贝、李翔、范一中、韦大明与南京大学的王涛博士在国际上率先提出:因为色散量中包含着独立的光子传播距离的信息,如果将来快变射电暴的红移被直接测定,那么它们有望成为高效的宇宙暗能量新探针。他们指出对单个快变射电暴而言,要成为与Ia型超新星同样有效甚至更高效的暗能量新探针的主要障碍是星系际介质的分布不均匀所导致的色散量的显著涨落。通过模拟他们发现对于“一个小的红移区间内但来自于不同天区的一组快变射电暴的色散量的平均值”,其涨落将被有效抑制。他们因而提出快变射电暴的确有可能作为有效的暗能量探针,代价是样本数量要增加10倍左右。基于“快变射电暴的红移分布与伽玛暴的红移分布类似”以及“由星系际介质的不均匀性导致的快变射电暴的色散量涨落和现阶段的数值模拟结果相近”这些假定,他们指出在红移1-3之间如能精确独立测量~1000个快变射电暴的色散量及其红移,暗能量状态方程将会得到准确的限制;如果联合同一红移区间重子声波振荡等其他数据有望区分暗能量模型(预期结果见图1)。审稿人对“快变射电暴有望成为高效的暗能量新探针”这一新思想给予了积极评价(“The idea is noble”)。
该项研究工作主要得到科技部973计划(尤其是青年科学家专题项目)、国家自然科学基金、江苏省杰出青年基金、B类先导专项的资助,已经被《物理评论D》(Physical Review D)在线发表,全文见https://journals.aps.org/prd/pdf/10.1103/PhysRevD.89.107303。

图1:三种天文数据对暗能量状态方程参量w的(预期)限制,其中红虚线代表模拟的1000个红移介于1-3的快变射电暴;蓝点线代表的是重子声波振荡数据,其中红移区间0.72-3的数据来自于数值模拟;黄线代表现有的Ia超新星数据;彩色的实心圈代表的是3种数据的联合限制(取自Zhou et al. 2014)。