
紫台 通 讯
第3期
中科院紫金山天文台综合办公室编 2014年5月

中国科学院射电天文重点实验室召开
第四届三次学术委员会暨工作会议

2014年5月7-9日,中国科学院射电天文重点实验室第四届三次学术委员会暨工作会议在南京召开。重点实验室学术委员会成员、工作班子成员以及特邀代表共25人参加了本次会议。学术委员会主任沈志强、副主任南仁东分别主持学术委员会会议和代表性成果汇报与评估会议,实验室主任史生才主持工作会议。
会议首先由实验室总部及各分部汇报了2013年度工作进展,之后就今年即将开展的院重点实验室评估工作,将近五年实验室代表性成果向学术委员会进行了汇报,包括FAST工程进展、VLBI在探月工程中的应用、太赫兹超导探测器研究等8项成果。
学术委员会委员们在听取了上述报告后,对实验室各项工作进行了认真讨论和审议,对实验室近五年的代表性成果进行了评估并对即将进行的院重点实验室评估的准备工作提出了建议。中科院前沿科学与教育局重点实验室处副处长薛艳杰对实验室评估工作提出具体指导意见。
最后,实验室工作班子认真讨论了学术委员会所提出的意见及建议,落实了2014年度工作计划,并就实验室管理等方面存在的问题提出了具体解决方案。
第十届中德星系宇宙学国际会议在西安召开

2014年5月18-23日,第十届中德星系宇宙学国际会议“从暗物质到星系”在西安召开,来自10多个国家和地区的约170名代表出席。本次会议由中国科学院紫金山天文台和德国马普天文所联合成立的中德马普伙伴小组主办。会议得到了科学院B类先导项目“宇宙结构起源专项”和德国马普学会支持。
中德星系宇宙学系列会议从上世纪80年代开始,每两年举办一次,迄今已走过30个年头。本次会议恰逢中国科学院与德国马普学会合作40周年,因此本次会议相比往届会议,规模更大,参加人员更多,参会人员更加国际化。会议还特别邀请了来自美国,英国,澳大利亚等国家的专家做特邀报告,会议主题跟科学院先导项目“宇宙结构起源”直接相关,涵盖主题有:星系中央黑洞和活动星系核、银河系和近邻星系群、引力透镜、星系形成、宇宙学。在五天的会议期间,各国学者就星系宇宙学领域的最新进展进行了热烈讨论。特别可喜的是,来自国内的年轻学者在不少研究方面已经开始显示出强劲实力,报告内容得到了国际同行的一致认可。本次会议不仅展示了国内天文界在星系宇宙学研究的实力,同时会议期间大家还就感兴趣的课题进行了热烈讨论,达成了不少合作意向。
何梁何利基金高峰论坛在中科院紫金山天文台举行

2014年5月14日,以“现代天文学创新与发展”为主题的何梁何利基金高峰论坛在中科院紫金山天文台(简称紫台)举行。
何梁何利高峰论坛根据基金评选章程,邀请何梁何利获奖科学家和评选委员会委员就科学前沿问题、热点问题、重大政策问题发表演讲并开展讨论交流。何梁何利基金2008年科学与技术进步奖获奖人陆埮院士、2009年科学与技术进步奖获奖人吴连大研究员分别做《从诺贝尔奖看天文学的蓬勃发展》、《空间目标天基探测》的学术报告。何梁何利基金评选委员会秘书长、著名知识产权专家段瑞春教授以《光荣与责任》为题发表演讲,介绍了基金的理念、机制和奖励情况。精彩的报告赢得了与会代表的阵阵掌声。来自紫台、南京大学和南京天文光学技术研究所等单位的科研人员100余人出席了论坛。
何梁何利基金是香港爱国金融家何善衡、梁銶琚、何添、利国伟先生基于崇尚科学、振兴中华的热忱,各捐资1亿港元于1994年在香港注册成立的社会公益性慈善基金,专门用于奖励和资助致力于推进中国科学技术取得杰出成就和重大创新的科学技术工作者。何梁何利基金自创立之日起,始终恪守公平、公正、公开的宗旨,坚持科学管理、制度透明、规范运作的原则,遴选表彰了共计1048位杰出科学家、工程师和创新领军人物,其中紫台共有四位科学家获此殊荣。
为表达对何梁何利基金捐款人的崇高敬意,2000年7月26日,经国家科技部建议,国际小行星中心同意,紫台将发现的国际编号为4431号的小行星正式命名为“何梁何利星”。今年是何梁何利基金成立20周年,高峰论坛选择在紫台举行,对激励科技人才、激发科技创新具有重要的现实意义。
中科院保密工作华东协作组会议在南京召开

2014年5月25日-26日,中科院保密工作华东协作组会议在南京召开,中科院办公厅老领导吴立光、南京分院副院长杨涛、协作组单位党政领导以及来自全院53家科研院所分管保密工作的领导、保密办主任、保密干部、保密技术管理人员共计130余人参加了会议。会议还特邀了国家认证办、国家认证中心专家到会指导。
紫台作为组长单位精心筹划、组织、承办了此次会议。党委书记张丽萍代表紫台党政领导班子和全台职工对会议的召开表示热烈祝贺,对在默默无闻、勤恳、扎实工作在保密一线同志表示诚挚的敬意。同时指出保密工作事关国家安全和利益,历来是党和国家的一项重要工作,面对严峻形势,要求进一步增强忧患意识、责任意识和敌情观念,从维护国家安全和利益的高度,充分认识加强新形势下保密工作的极端重要性和紧迫性,时刻绷紧保密这根“弦”,为我院创新2020和“四个率先”提供坚强有力的保障而营造良好的环境。希望各单位在完成“规定动作”的同时,结合实际做好“自选动作”,坚持巩固提高,加强基础建设,通过协作组互相交流、研讨等形式,把保密工作做好、做细、做实,进一步提高保密意识,提升保密工作能力,真正做到防微杜渐、警钟长鸣,为全院的发展和稳定做出新的贡献。合肥物质研究院副院长刘建国、南京分院副院长杨涛、办公厅老领导吴立光先后发言,充分肯定了协作组工作,认为协作组充分发挥了平台作用,有效推动了各单位保密工作开展。希望协作组各成员单位要继续努力,不断创新形式,为全院保密工作做出贡献。
会上,两位受邀专家深入剖析了当前的保密形势,结合实际工作给出了专业指导,并进行了精彩答疑,会议现场气氛热烈。
26日,各有关单位保密业务部门领导围绕如何做好定密管理、涉密科研项目全生命周期管理进行了经验介绍。与会代表参观了中电集团第十四研究所。
“快变射电暴”有望成为高效的暗能量新探针
快变射电暴(fast radio bursts)是2013年里得以确认的一类持续毫秒量级、流量强达~1Jy的单脉冲型射电爆发事件,全天区的探测率原则上高达~10000/天。它们的物理起源尚不清楚,但所测得的色散量远远超过银河系星际介质的贡献,所以一般认为最可能来自于宇宙深处的致密星表面。目前国际上对快变射电暴的研究进行得如火如荼,已迅速形成一个重要的科学前沿领域。另一方面,现代宇宙学研究中最重要的研究对象之一是暗能量,它被广泛的用来解释宇宙的加速膨胀等其它天文重要观测现象。现阶段暗能量研究的最重大课题之一是其状态方程的测定,通过它人们可以准确的区分“宇宙学常数”或者是各种“标量场”模型进而揭示暗能量的本质。目前人们主要利用Ia型超新星、重子声波振荡、微波背景辐射等观测数据来联合限制暗能量的状态方程,但所达到的精度还不足以可靠的区分不同的暗能量模型。所以新的有效的暗能量探针依然是人们孜孜以求的目标之一。
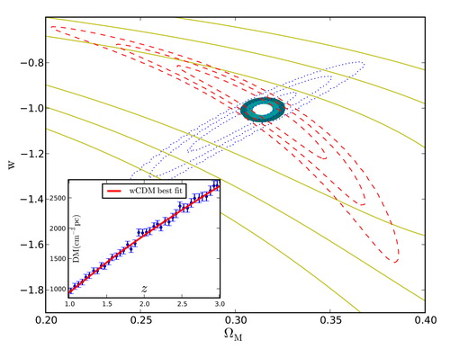
2014年1月紫金山天文台周贝、李翔、范一中、韦大明与南京大学的王涛博士在国际上率先提出:因为色散量中包含着独立的光子传播距离的信息,如果将来快变射电暴的红移被直接测定,那么它们有望成为高效的宇宙暗能量新探针。他们指出对单个快变射电暴而言,要成为与Ia型超新星同样有效甚至更高效的暗能量新探针的主要障碍是星系际介质的分布不均匀所导致的色散量的显著涨落。通过模拟他们发现对于“一个小的红移区间内但来自于不同天区的一组快变射电暴的色散量的平均值”,其涨落将被有效抑制。他们因而提出快变射电暴的确有可能作为有效的暗能量探针,代价是样本数量要增加10倍左右。基于“快变射电暴的红移分布与伽玛暴的红移分布类似”以及“由星系际介质的不均匀性导致的快变射电暴的色散量涨落和现阶段的数值模拟结果相近”这些假定,他们指出在红移1-3之间如能精确独立测量~1000个快变射电暴的色散量及其红移,暗能量状态方程将会得到准确的限制;如果联合同一红移区间重子声波振荡等其他数据有望区分暗能量模型(预期结果见图1)。审稿人对“快变射电暴有望成为高效的暗能量新探针”这一新思想给予了积极评价(“The idea is noble”)。
该项研究工作主要得到科技部973计划(尤其是青年科学家专题项目)、国家自然科学基金、江苏省杰出青年基金、B类先导专项的资助,已经被《物理评论D》(Physical Review D)在线发表,全文见https://journals.aps.org/prd/pdf/10.1103/PhysRevD.89.107303。

图1:三种天文数据对暗能量状态方程参量w的(预期)限制,其中红虚线代表模拟的1000个红移介于1-3的快变射电暴;蓝点线代表的是重子声波振荡数据,其中红移区间0.72-3的数据来自于数值模拟;黄线代表现有的Ia超新星数据;彩色的实心圈代表的是3种数据的联合限制(取自Zhou et al. 2014)。
大数据时代的星系结构起源研究:形态测量新方法
|
 
GEMS巡天选出的764个红移0.35<z<0.9的星系完备样本的形态参数Do-Ao关系图(左图)。形态越不规则的星系具有越大的Do和Ao参数;右图所示的15个蝌蚪状的并合星系(具有明显潮汐尾)位于参数空间的右上角,与数目众多的规则星系分布区域不同。测定形态的Do-Ao方法可以有效证认具有低表面亮度的不对称形态结构特征的星系。
星系的形态结构与其形成历史密切相关。概况地讲,漩涡星系的盘结构是经吸积气体形成恒星由内而外增长形成;漩涡星系的并合会瓦解盘,导致形态不规则,并最终形成椭球星系。星系并合在星系质量增长、形态重塑、星暴激发、中心黑洞吸积等方面扮演非常重要的角色,是驱动星系形成和演化的关键物理机制之一。普查宇宙不同阶段星系的形态特征和并合事件发生频率,及如何随时间演化,是理解星系结构起源的关键,也是当前河外天文学的核心研究目标之一。随着天文大数据时代的来临,大规模多色深度图像巡天使得全面细致研究近邻和遥远宇宙中各类星系的形态结构成为可能。
紫金山天文台的星系研究团队发展出一套能够自动测定星系形态的新方法,尤其适于证认具有潮汐不对称结构的并合星系。这一方法的核心是把一个星系分成等亮度的内部和外围两部分,对星系外围部分测定其不对称度Ao和其“质心”相对内部区域“质心”的偏离度Do两个形态参数;星系形态越不规则,其Do和Ao两参数越大,因而可以将具有不同形态的星系区分开。与已有的CAS和Gini-M20方法相比,此方法避开星系中心高面亮度区域的影响,对探测低面亮度的纤细子结构更为敏感。如图所示,基于GEMS巡天的哈勃空间望远镜高分辨图像数据对764个红移0.35<z<0.9的星系组成的完备样本测定形态参数,证实样本星系在Do-Ao参数空间分布成单一序列:统计而言,椭球星系和盘星系等形态规则星系与并合星系等形态不规则星系分布在此序列不同位置上。与国际上的同类方法比较,这一方法在证认并合星系,特别是有潮汐尾等特殊不对称结构的星系方面最为有效。这一研究成果发表在美国ApJ期刊上,文章全文可见于http://iopscience.iop.org/0004-637X/787/2/130或arXiv:1404.2281。
“国际上的欧几里得(EUCLID)计划和大型综合巡天望远镜计划(LSST),和国内已列入规划的南极昆仑站暗宇宙巡天望远镜计划(KDUST)等耗资巨大的巡天项目将会提供PB量级的天文科学数据。如何有效地利用大数据开展科学研究将是天文领域面临的一个难题。” 研究工作负责人郑宪忠研究员说,“我们发展的新方法是面向这些巡天计划的大数据,可以开展超大样本的星系形态测量,探索星系结构的起源。这也是为我国自己的南极KDUST巡天计划的科学产出提前做些准备。当然,还需要更多的努力来发展相关的自动计算分析方法,迎接大数据时代的挑战。” |
简讯:
-
5月9日,紫金山天文台举办第一届职工三人篮球比赛。
-
5月21日,紫金山天文台在2014年全国科技活动周期间举办科普讲座。
-
5月24日,紫金山天文台举办“天文科普之旅”活动。
-
5月30日,紫金山天文台青岛观象台与青岛市天文爱好者协会联合举办“天文知识进乡村”系列活动2014年“天文知识进乡村”系列活动。
-
5月31日,紫金山天文台青岛观象台、青岛天文爱好者协会及中国国旅(青岛)公司共同举办了2014庆六一、学天文——招远观星赏月游。
-
5月,紫台吴雪峰、平一鼎、赵金松获2014年度中科院公派出国留学计划资助。
-
5月,紫台荣获“2013年中国科学院信息化工作优秀奖”。
-
5月,紫台退休职工王京生在围棋友谊赛中获奖。
-
5月,紫台黄晓渊和褚哲荣获中国博士后科学基金资助。
-
5月,青岛观象台被评为山东省四星科普教育基地。